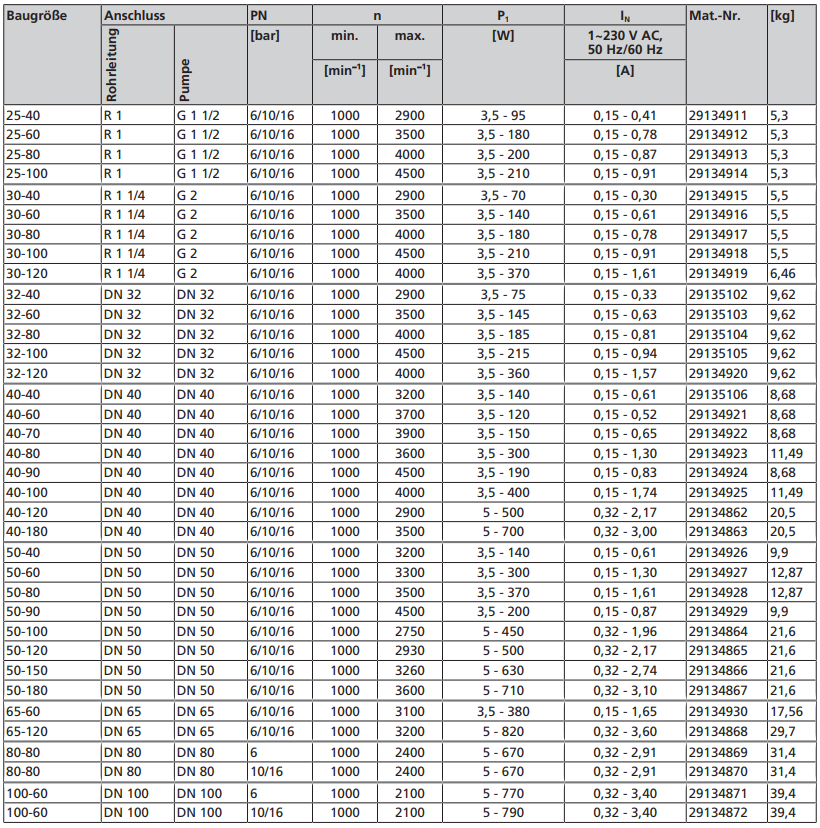
Wie sind die Technischen Daten der Calio? Ricardo Ayala 4. November 2025 14:21 Die technischen Daten der Calio pro Baugröße sind wie folgt. Tabelle: Technische Daten der Calio Weiterführende Informationen, Links, etc.Link zum KSB Produktkatalog mit der aktuellen Betriebsanleitung der Calio auf ksb.com (unter "Dokumente" am Ende der Seite) Kommentare 0 Kommentare Bitte melden Sie sich an, um einen Kommentar zu hinterlassen.
Kommentare
0 Kommentare
Bitte melden Sie sich an, um einen Kommentar zu hinterlassen.